Description
| Catalog # | Size | Storage |
|---|---|---|
| Mag-009/200 | 200 | Ambient temperature |
| Mag-009/500 | 500 | Ambient temperature |
| Mag-009/2000 | 2000 | Ambient temperature |
Product Information
The OxMag Viral RNA Purification Kit utilises synthetic magnetic bead technology to efficiently extract viral RNA from human samples such as nasopharyngeal and oropharyngeal swabs.As a RUO the product can isolate total nucleotides from the human and animal specimens. This kit is highly adaptable, making it ideal for high-throughput screening and compatible with various automated liquid handlers and magnetic rod systems, such as Tecan Fluent, Freedom Evo, King Fisher, etc. Purified RNA is ready for downstream application such as RT-qPCR, RT-PCR, and Next-Generation Sequencing.

Kit Specifications
| Input | Nasopharyngeal swabs Oropharyngeal swabs Bronchoalveolar lavage Sputum |
| Yield | (5-50 ng/µl) Varies depending on sample type |
| Elution Volume | 50- 200 µl, depending on sample type |
| Purity | A260/280 ≥ 1.8 A260/230 ≥ 2.0 |
| Compatible downstream applications | RNA Library prep for NGS, Nanopore, RT-PCR |
-
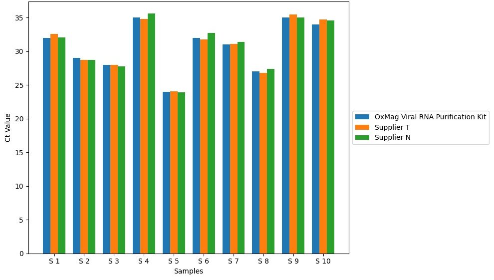
Figure 1: OxMag Viral RNA Purification kit comparable to competitors in efficiency and performance in viral RNA purification.

Comparison of the OxMag Viral RNA Purification Kit with Supplier T Viral and Supplier N Viral: Various samples with decreasing viral loads were prepared utilising Heat-inactivated SARS-CoV-2. RT-qPCR was conducted employing the TaqPathTM COVID-19 CE-IVD RT-PCR Kit on the QuantStudio 5 instrument. The OxMag Viral RNA Purification Kit consistently exhibited lower Ct values, aligning closely with the results obtained from competitors. -
Figure 2: Efficiency compared in C hepatitis nucleic acid isolation kits.

Efficiency comparison involved isolating C hepatitis nucleic acid from serum samples using OxMag kit Supplier N Vial and Supplier T Viral. RT-qPCR utilized AltoStar® HCV RT-PCR Kit on QuantStudio 5 instrument.
Kit Components
| OxMag Viral RNA/DNA Purification Kit | 200 rxn | 500 rxn | 2000 rxn | Transportation and Storage | |
|---|---|---|---|---|---|
| Solution A | Lysis/Binding Buffer | 55 ml | 70 ml x 2 | 107 ml x 5 | Room temperature |
| Solution W1 (conc.) | Wash Buffer 1 | 30 ml | 75 ml | 295 ml | Room temperature |
| Solution W2 (conc.) | Wash Buffer 2 | 14 ml x 2 | 70 ml | 140 ml x 2 | Room temperature |
| Solution E | Elution Buffer | 50 ml | 105 ml | 105 ml x 4 | Room temperature |
| OxMag® Beads | Synthetic Magnetic Beads | 2 ml | 5 ml | 20 ml | Room temperature |
| Proteinase K Enzyme | Lyophilized Powder | 20 mg | 25 mg x 2 | 20 mg x 10 | Room temperature |
| Proteinase K Storage Buffer | Storage Buffer for Enzyme | 1.5 ml | 1.5 ml x 2 | 15 ml | Room temperature |
| Carrier RNA | Synthetic Oligo Mix (Lyophilized Powder) | 100 µg | 125 µg x 2 | 100 µg x 10 | Room temperature |

Reviews
There are no reviews yet.